近期,由浙江大学转化医学研究院、浙江大学医学院附属第一医院、浙江大学医学院附属第二医院、浙江大学医学院附属邵逸夫医院、浙江省人民医院、金华市中心医院和XPJ(中国)诊断感染疾病诊断中心共同参与的一项关于肺炎病原菌株水平精准分型的研究,发表于《Journal of Translational Medicine》(IF:7.5,Q1)。
该研究系统性对比了宏基因组二代测序(mNGS)、培养法及基于纳米孔技术的宏基因组三代测序(mTGS),在肺炎患者病原体菌株水平分型中的性能。研究表明,mNGS在克隆复合体(CC)水平的分型结果,与培养菌株全基因组测序(WGS)结果完全一致,且相比mTGS具有更高的分型准确性和精密度;明确了mNGS是当前临床实践中更适配的菌株分型工具,它突破了传统培养法无法检测培养阴性样本、mTGS分型精度不足的局限,揭示的菌株水平共感染高发生率及不同CC的耐药/毒力特征,为肺炎精准诊疗给予了关键依据。

论文发布截图
研究背景:为何要突破“物种水平”,聚焦菌株分型?
mNGS凭借无需培养、无需预设病原体的优势,彻底改变了临床微生物学诊断[1,2]。但此前,它仅能实现“物种级”鉴定,难以真正满足精准诊疗需求。以鲍曼不动杆菌中临床最受关注的ST208菌株与其他菌株(如ST191)为例,二者虽同属一个物种,但不同菌株在毒力、耐药性及治疗策略上差异显著,是“物种级鉴定”无法区分,需依赖“菌株级分型”的典型代表。因此,将病原体鉴定从“物种级”推向“菌株级”,是破解感染性疾病诊疗瓶颈的关键一跃,更是满足临床精准用药、改善患者预后的迫切需求[3]。
为填补临床空白,研究团队以肺炎为切入点,聚焦鲍曼不动杆菌、肺炎克雷伯菌两种克隆结构清晰的致病菌展开探究[4,5]。顺利获得对比培养法、mNGS、mTGS的分型性能,证实mNGS是当前最适配临床的工具;进一步用mNGS分析185份支气管肺泡灌洗液(BALF)样本,发现菌株水平共感染现象,且不同菌株的毒力、耐药性差异显著;对序贯BALF样本,以及配对的BALF和血液样本进行的亚型比较分析,进一步追踪到了患者个体内菌株水平的时空变化。这些发现凸显了将菌株水平亚型分析纳入常规mNGS诊断的临床价值。
研究方法:多技术对比+大样本验证,构建菌株分型框架

图1. 研究方案
研究团队围绕“技术性能对比”和“临床特征分析”两大核心,设计了严谨的研究方案(图1)。团队回顾性收集了来自国内3家三甲医院的185份肺炎患者的BALF样本(2020年9月-2023年4月),额外选取了30份培养阳性的BALF/血液样本(用于mNGS vs. 培养法对比)、30份BALF样本(用于mNGS vs. mTGS对比)。
研究结果:mNGS优势显著,菌株特征中藏关键诊疗信息
1、mNGS vs. 培养法:CC水平分型100%匹配
在15份鲍曼不动杆菌、10份肺炎克雷伯菌单感染样本中,mNGS的分型结果与“先培养细菌再对菌落进行WGS、最后用多位点序列分型(MLST)”的结果完全一致。
同一份样本挑取10个菌落测序,均为同一序列型(ST),证实mNGS单感染分型的可靠性。

图2. mNGS和培养法对细菌分型的结果比较
2、mNGS vs. mTGS:mNGS更精准、更稳定
从数据效率看,mNGS能获取的总reads数量是mTGS的35倍,而且其中非人源reads占比仅为mTGS的1/20,数据利用率更高。
从检测能力看,mTGS数据中超半数reads为“非CC特异性”reads(无法区分菌株),且6份样本因特异性reads不足无法分型,3份检出临床不可信的CC(≥3个)。
以mNGS的结果为基准,mTGS鉴定共感染的灵敏度仅0.33,准确率0.63,远低于mNGS。

图3. mNGS与mTGS在细菌分型中的评估
3、临床菌株特征,关乎精准用药
两种致病菌的CC分布呈现明显差异,鲍曼不动杆菌中94.92%为CC208(主导克隆),肺炎克雷伯菌则呈多CC分布(CC11占24.29%、CC29占18.57%)。
同时,CC水平的共感染检出率较高,5.40%鲍曼不动杆菌阳性样本、19.55%肺炎克雷伯菌阳性样本均存在此类共感染。
研究还发现,细菌的耐药性与菌株的CC类型存在显著关联,其中34/35份CC208型鲍曼不动杆菌、2/2份CC11型肺炎克雷伯菌,均对头孢他啶、亚胺培南等多种抗生素表现出耐药性。
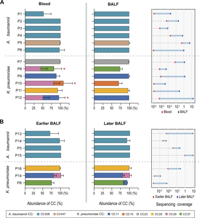
菌株的CC组成还具有明显的时空一致性,不仅配对的BALF与血液样本中CC组成基本一致,在6例患者的序贯样本中,也有5例CC类型未发生变化,仅1例从单感染开展为共感染。

图4. BALF样本中的CC水平分布

图5. 同一个患者体内CC组成的空间和时间一致性
从技术突破到临床研究,这项工作不仅首次揭开了不同技术方法对细菌亚型分析的性能差异,更以鲍曼不动杆菌和肺炎克雷伯菌为切入点,让菌株水平的感染图景清晰呈现。它打破了“一刀切”的检测局限,为不同病原体、疾病类型和样本的mNGS亚型研究奠定了基础。当本地数据库积累的菌株特异性毒力与耐药信息,能转化为精准用药的导航,当培养阴性或复杂合并感染的难题被逐步破解,mNGS亚型分析正从科研探索走向临床刚需。
有助于这项技术纳入常规实践,既是对诊断准确性的极致追求,更是精准医疗时代下,为患者带来个体化治疗方案的必然选择——让每一次检测都更有温度,每一次治疗都更具底气。
参考文献
[1] Simner PJ, Miller S, Carroll KC. Understanding the promises and hurdles of metagenomic next-generation sequencing as a diagnostic tool for infectious diseases. Clin Infect Dis. 2018;66:778–88.
[2] Gu W, Deng X, Lee M, Sucu YD, Arevalo S, Stryke D, et al. Rapid pathogen detection by metagenomic next-generation sequencing of infected body fluids. Nat Med. 2021;27:115–24.
[3] Frank C, Werber D, Cramer JP, Askar M, Faber M, An der Heiden M, et al. Epidemic profile of Shiga-toxin-producing Escherichia coli O104:H4 outbreak in Germany. N Engl J Med. 2011;365:1771–80.
[4] Gaiarsa S, Batisti Biffignandi G, Esposito EP, Castelli M, Jolley KA, Brisse S, et al. Comparative analysis of the two Acinetobacter baumannii multilocus sequence typing (MLST) schemes. Front Microbiol. 2019;10:930.
[5] Zhou H, Liu W, Qin T, Liu C, Ren H. Defining and evaluating a core genome multilocus sequence typing scheme for whole-genome sequence-based typing of Klebsiella pneumoniae. Front Microbiol. 2017;8:371.